石田 和哉
米国市場はナスダック総合が4週連続の上昇となったものの、ダウ工業30種、S&P500種はほぼ変わらない展開となり、動意に欠ける動きとなっている。
人工知能のインフラ拡充のために半導体やネットワーク関連製品の需要が増加するとの見通しを受けた半導体株がまちまちの展開、エヌビディアは2.2%安、ブロードムは24%高など高安の入り乱れる状況となっている。
インフラストラクチャー・キャピタル・マネジメントのジェイ・ハットフィールド最高経営責任者(CEO)は「ハイテク株が上昇している局面で、バリュー株やインカム株が下落するのは極めて自然なこと」と述べたている。
(米ダウ推移) 
(Reutersより)
12月第3週の注目ポイント(経済指標)
時間表記:日本時間
12月17日(火)
22:30 米国 11月小売売上高(前月比)
22:30 米国 11月小売売上高(除自動車)(前月比)
12月18日(水)
19:00 ユーロ 11月消費者物価指数(HICP、改定値)(前年同月比)
19:00 ユーロ 11月消費者物価指数(HICPコア指数、改定値)(前年同月比)
28:00 米国 米連邦公開市場委員会(FOMC)、終了後政策金利発表
28:30 米国 パウエル米連邦準備理事会(FRB)議長、定例記者会見
12月19日(木)
--:-- 日本 日銀金融政策決定会合、終了後政策金利発表
15:30 日本 植田和男日銀総裁、定例記者会見
21:00 英国 イングランド銀行(BOE、英中央銀行)金利発表
21:00 英国 英中銀金融政策委員会(MPC)議事要旨
22:30 米国 7-9月期四半期実質国内総生産(GDP、確定値)(前期比年率)
12月20日(金)
08:30 日本 11月全国消費者物価指数(CPI)(前年同月比)
08:30 日本 11月全国消費者物価指数(CPI、生鮮食料品除く)(前年同月比)
08:30 日本 11月全国消費者物価指数(CPI、生鮮食料品・エネルギー除く)(前年同月比)
22:30 米国 11月個人消費支出(PCEデフレーター)(前年同月比)
22:30 米国 11月個人消費支出(PCEコア・デフレーター、食品・エネルギー除く)(前月比)
22:30 米国 11月個人消費支出(PCEコア・デフレーター、食品・エネルギー除く)(前年同月比)
日米市場
日本市場は12月12日に日経平均40,000円を付ける形となったが勢いは続かず、翌日13日は500円安、終値ベースで378円安となり、12月第2週を39470.44円と40,000円をなかなか上回れない展開で推移している。
裁定買い残(先物売り・買いのポジションを組み裁定取引を解消していない現物買いの残高)は足元では増加しているが過去から見たらほど遠い水準である事から、ここから裁定買い残が増えるのかどうかともいえそうだ。
(日経平均推移)
(Reutersより)
欧州市場
欧州・英国市場は下落の展開。
欧州市場はECBが市場予想通りの25bpの利下げを決めた中でEU圏の経済状況の悪化懸念に加えて、25年度のECBによる金融緩和ペースを見極めたい慎重姿勢を見せる投資家も存在した事が市場の上値を抑え、値を下げる展開となった。
英国市場は10月英GDP値が予想とは異なり、縮小なった事が市場の重石となり、値を下げる展開となった。
12月3週は11月消費者物価指数や英政策金利などの発表がある事から、それらの数字に加えて米国市場、中国市場動向に注意したいところだ。
(FTSE100 推移)
(Reutersより)
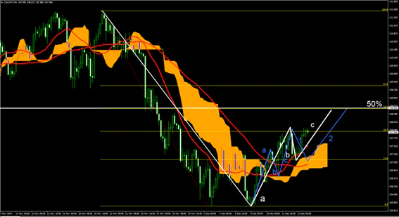
今週の為替(CAD/JPY)

CAD/JPYについて解説したい。
CAD/JPYの4時間足では2通りの可能性が見て取れる形が見て取れる。
白線a-cで示したものは波動論の下降の1‐5波が終わり、調整波のa-cが形成されている
場合、青線a-c、1-2で示したものは調整波a-cが終わり、上昇トレンド1-2波が形成されている場合である。
両者どちらの場合であっても買い目線となっており、直近の下降トレンドの高安値の50%までの上昇余地がある事からある程度の利益を見込める部分となっている。
1点、調整波a-c波となっている場合には次のトレンドが今の推移とは異なる場合がある。
すなわち、下降トレンド、レンジとなる場合もあり、その場合には形成される高値安値を確りと抜けてくるのかどうかを判断したいところだ。
