(function() { var didInit = false; function initMunchkin() { if(didInit === false) { didInit = true; Munchkin.init('105-GAR-921'); } } var s = document.createElement('script'); s.type = 'text/javascript'; s.defer = true; s.src = '//munchkin.marketo.net/munchkin.js'; s.onreadystatechange = function() { if (this.readyState == 'complete' || this.readyState == 'loaded') { initMunchkin(); } }; s.onload = initMunchkin; document.getElementsByTagName('head')[0].appendChild(s); })();(function(h,o,t,j,a,r){ h.hj=h.hj||function(){(h.hj.q=h.hj.q||[]).push(arguments)}; h._hjSettings={hjid:1422437,hjsv:6}; a=o.getElementsByTagName('head')[0]; r=o.createElement('script');r.defer=1; r.src=t+h._hjSettings.hjid+j+h._hjSettings.hjsv; a.appendChild(r); })(window,document,'https://static.hotjar.com/c/hotjar-','.js?sv=');

石田 和哉

4月4日の米国市場はトランプ政権による関税措置からの貿易戦争の激化を懸念した急落となった。
ダウ市場の下げ幅は2,231ドル安と2020年3月のコロナウイルスのパンデミック以来の大幅な下落を見せている。

投資家心理を反映するとされる指数「VIX指数もパンデミック時と同様に急騰しており、世界同時株安、経済の急減速などへの懸念が広がっている。

市場予想を上回る数字となった米国雇用統計の数字は市場に何ら影響を及ぼしておらず、同日講演したパウエルFRB議長はトランプ氏の新たな関税措置は「予想以上に大きく」、インフレや成長などへの影響も同様に予想以上となる公算が大きいと指摘。「政策スタンスの調整を検討する前に、われわれはより明確な状況を見極めることが可能な態勢にある。金融政策の適切な道筋を決定するのは時期尚早だ」と述べるなどしており、混乱・困惑はまだまだ広がりそうだ。

(急騰したVIX指数)

(Reutersより)

4月第2週の注目ポイント(経済指標)

時間表記:日本時間
4月9日(水)
27:00 米国 米連邦公開市場委員会(FOMC)議事要旨

4 月10日(木)
21:30 米国 3月消費者物価指数(CPI)(前月比)
21:30 米国 3月消費者物価指数(CPI)(前年同月比)
21:30 米国 3月消費者物価指数(CPIコア指数)(前月比)
21:30 米国 3月消費者物価指数(CPIコア指数)(前年同月比)

4 月11日(金)
15:00 英国 2月月次国内総生産(GDP)(前月比)

日米市場
日本市場は日経平均33780.58円で週を終えている。
1週間で2,659円と言う下落幅となっており、米国トランプ政権による関税措置の影響の凄まじさの表れた1週間となった。

問題はこれで下落が終わりではない事であり、CMEでは31,000円を意識する水準にまで値を下げる展開となっており、2,300ドルを超える下落、急落となった米国市場の影響は今週に入ってもまだまだ日本市場に影響を与える形となりそうだ。
31,000円台に突入した場合には2週で4,000円を超える下げ幅となり、日経平均は確実に40,000円台へは遠い夢となるだろう。

(日経平均推移)

(Reutersより)

欧州市場
欧州・英国市場共に値を下げる展開となった。
英国市場は1日の下落幅が4.95%、STOXX欧州600は5.12%の下落となっており、米国関税措置の影響が全世界に影響を与える状況となっている。

中国の報復関税、対抗措置による世界的な景気後退、中国経済と密接に関係を持つ欧州市場への影響は甚大なものとなっており、リスク回避姿勢が今までにないくらい高まっている。
コロナウイルスによるパンデミック時以上の急落となっており、歴史に名を刻むであろう、今回の事象は今後の先行きが見通すことができないという事から、まだまだ欧州市場に与える影響は強くなりそうだ。

(STOXX欧州600 推移)

(Reutersより)

今週の為替

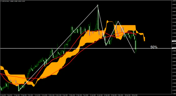
USD/CAD

USD/CADについて解説していきたい。
USD/CAD日足と長期での判断となる。
分足や1時間、4時間ではほぼ全ての通貨において、米国トランプ政権による関税措置の影響、株式市場の世界同時安などの影響からすでに大きく値を動かした直後となっており、急激な戻りや更なる動意など判断の付きにくい状況となっている。

日足では転換点、調整局面がみられる通貨ペアも多くある事から、米国動向を長期スパンで判断していきたいと思う。

今回解説を行うUSD/CADは下降トレンドへ転換する可能性が出てきている。
米国とカナダが関税措置を巡って対立している事が動意の原因ともなっているが、問題がすぐに解決しない見通しである事から転換する可能性を念頭においてトレードを行っていきたい。
日足上では直近の下降トレンドの半値、50%を意識する部分となっており、ここから一旦は戻りを試す可能性もあるが、長期で見た場合、関税措置などの影響を見た場合には下降トレンドへの転換の可能性となりそうだ。

ほぼ満足
Loading