石田 和哉
8日の米国市場は空席となったFRB理事へのトランプ大統領がミラン大統領経済諮問委員会委員長を指名すると発表したことを受け、FRBによる年内の利下げ期待が高まり、米国市場は値を上げる展開となった。
チェリー・レーン・インベストメンツのパートナー、リック・メックラー氏は「FRBが利下げに踏み切るなら、その流れに逆らわず投資すべきだと考えている投資家がいるのは確かだ」と指摘し、関税の先行きが依然として不確実であることから、ショートポジションを取りたがる人はそれほど多くないとの見方を示した。
米国では雇用統計を巡り米労働統計局の局長を解任するなど、関税措置以外でも問題が山積している中でのFRB人事ということもあり、市場の反応はそれほど劇的なものではなくなってきている。
常に様々な問題が噴出している中で感覚がマヒ、市場での反応も過敏な反応をしにくい状況が生まれつつあるようにも感じる流れとなってきている。
(米ダウ 推移) 
(Reutersより)
8月第2週の注目ポイント(経済指標)
時間表記:日本時間
8月12日(火)
21:30 米国 7月消費者物価指数(CPI)(前月比)
21:30 米国 7月消費者物価指数(CPI)(前年同月比)
21:30 米国 7月消費者物価指数(CPIコア指数)(前月比)
21:30 米国 7月消費者物価指数(CPIコア指数)(前年同月比)
8月14日(木)
15:00 英国 4-6月期四半期国内総生産(GDP、速報値)(前期比)
15:00 英国 4-6月期四半期国内総生産(GDP、速報値)(前年同期比)
15:00 英国 6月月次国内総生産(GDP)(前月比)
18:00 ユーロ 4-6月期四半期域内総生産(GDP、改定値)(前期比)
18:00 ユーロ 4-6月期四半期域内総生産(GDP、改定値)(前年同期比)
8月15日(金)
08:50 日本 4-6月期四半期実質国内総生産(GDP、速報値)(前期比)
08:50 日本 4-6月期四半期実質国内総生産(GDP、速報値)(年率換算)
21:30 米国 7月小売売上高(前月比)
21:30 米国 7月小売売上高(除自動車)(前月比)
日本市場
日本市場は41,820.48円で週を終えており、週間では+1,701.67円となっている。
先週は東京エレクトロンの決算見通しで不安定な相場となった日本市場だが米関税問題の不透明感が後退していること、好決算企業への物色の勢いが強くなってきており、総じて堅調な展開となっている。
週明けの日本市場は3連休からの夏休みムードの強い相場展開になると思われ、薄商いの中での米国、欧州市場動向、企業業績に左右される展開となりそうだ。
夏枯れ相場本番という形となり、実を伴った展開は来週以降、場合によっては8月末以降となるだろう。
(日経平均推移)

(Reutersより)
欧州市場
英国市場はまちまち、欧州市場は値を上げる展開となった。
欧州市場はトランプ大統領による一連の関税政策の不確実性もあり、投資家の資産の避難先となっているようで、欧州STOXX600指数は週間で2.11%の上昇となっている。
英国市場はイングランド銀行が金利の引き下げを決めたものの、僅差での利下げ決定であった事が投資家の間でインフレリスクが意識される形となり、英国市場はまちまちの展開で推移している。
米国の関税政策問題は落ち着きを見せつつあるが、いつどこで新たな政策を打ち出すのか?
ロシアに対する対応などもあり方向性の見えにくい展開となっている。
(欧州STOXX600 推移)
(Reutersより)
今週の為替
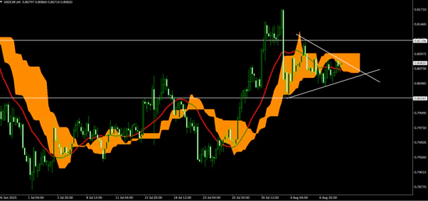
USD/CHF
USD/CHFについて解説していきたい。
USD/CHF4時間足は三角持ち合いの形成となっている。
二等辺三角形の様な三角持ち合いはどちらの方向に推移するのか?抜けてくるのか?が判断の難しい部分となっており、現在の価格帯での推移でのトレードは安易に行うには難しい所となっている。
明確に抜けを確認してからのトレードが基本となっており、持ち合い・レンジからの抜けをしっかりと見極めていきたい。
