石田 和哉
5日の米国市場は同日発表された米国雇用統計が市場予想の7.5万人を大幅に下回る2.2万人増となり、失業率は4.3%と4年ぶりの高水準と雇用の減速を示す数字となった。
その流れを受け景気先行き不透明感が相場の重石となったが、一方で近々の話題の中心となっていたFRBによる利下げの可能性が強まったことで楽観的な見方も広がり、市場は小幅安で推移する形となった。
IGノース・アメリカのピート・マルマット最高経営責任者は「足元、この相場を崩すには1つ以上の悪いデータが必要だ」と述べており、米国市場は実体経済の行方は不透明感が漂うもののそれ以上の楽観論による市場展開が続く形となっている。
また、USバンク・アセット・マネジメントの資本市場リサーチ&ポートフォリオ構築担当のビル・メルツ氏は「雇用統計は労働市場の軟化を裏付け、月内のFRB会合での利下げを正当化する内容だ」と述べた。
(米ダウ推移) 
(Reutersより)
9月2週の注目ポイント(経済指標)
時間表記:日本時間
9月8日(月)
08:50 日本 4-6月期四半期実質国内総生産(GDP、改定値)(前期比)
08:50 日本 4-6月期四半期実質国内総生産(GDP、改定値)(年率換算)
9月11日(木)
21:15 ユーロ 欧州中央銀行(ECB)政策金利
21:30 米国 8月消費者物価指数(CPI)(前月比)
21:30 米国 8月消費者物価指数(CPI)(前年同月比)
21:30 米国 8月消費者物価指数(CPIコア指数)(前月比)
21:30 米国 8月消費者物価指数(CPIコア指数)(前年同月比)
21:45 ユーロ ラガルド欧州中央銀行(ECB)総裁、定例記者会見
9月12日(金)
15:00 英国 7月月次国内総生産(GDP)(前月比)
日本市場
日本市場は43,018.75円で週を終えており、週間では+656.04円となっている。
日本市場では7月の日米貿易合意に関する大統領令にトランプ大統領が著名したこの報道に不透明感が払拭されるなど投資家心理に改善も見られているものの、8日には自民党総裁選の前倒しの是非をめぐる意思確認の内容が公表されるなど政局的な問題もあり、国内政局の動向を横目にしつつ、織り込み済みで推移するのか?それとも?という流れとなりそうだ。
7日日曜日夜に急遽発表された石破首相辞意の流れを注視したいところであり、総裁選前倒しとなれば期待感からの買いが入るのでは?との期待の声も聞かれているが米国雇用統計が市場予想を大幅に下回る水準となり失業率も4年来の高水準となっていることから警戒の動きもある程度、出てきそうだ。
(日経平均推移)
(Reutersより)
欧州市場
欧州・英国市場はまちまちの展開となった。
英国市場は週間で0.23%の高となり、欧州市場は0.17%安とまちまちの展開、動意に欠ける形で推移している。
米国雇用統計が市場予想以上に弱かったこと、雇用環境の減速が確認されたことで米経済への懸念は高まった中での推移ということもあり、投資家の判断は様子見が強くなっているようだ。
焦点は米金利の引き下げをめぐる一連の騒動からFRBの動きが精彩を欠くのではないのか?という部分であり、インフレ抑制を長年にわたって達成してきた一種のブランド力というものが今後の展開次第では評価・信頼の低下となる可能性もあり、暫くは目の離せない展開が続くと思われる。
(STOXX欧州600推移)
(Reutersより)
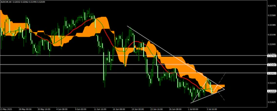
今週の為替(AUD/CHF)

AUD/CHF4時間足について解説したいと思う。
6月中旬以降、相場は下降トレンドが続いていたが、ここにきて安値を切り上げる形となり、転換・三角持ち合いの形成となっている。
下降トレンド最後の高値が上値を抑える形、上値抵抗線として意識されているものの、下降トレンドからの調整局面ということもあり上下どちらに抜けるのか?で方向感、トレンドが形成されると考えられる。
一目均衡の雲を見た場合では雲を抜けきることができていないことから依然として下降トレンドの勢いが強く、雲を抜けきれるかどうか、直近の高値を抜けることができるかどうかが重要となってくる。
上値は重いものの、抜けてくれば勢いを伴った流れとなることからしっかりと判断を行っていきたいところだ。
上値抵抗線は0.5240、0.5260、0.5280であり、特に0.5280が重要な上値抵抗線として意識されている。
下値支持線は0.5200、0.51800が意識されており、0.5200は節目ということもあり。心理的にも意識されやすい価格となっている。
0.5240を上抜ければ上昇の可能性、0.5200割れで再度の下降トレンドの可能性がありそうだ。
